Showing 12 compounds.

Catalog Number: Seu-001
Molecular Formula: C8H13NO4S
Chemical Name: (3aR,6S,7R,7aS)-5,6,7,7a-Tetrahydro-5-(hydroxymethyl)-2- methylpyrano[3,2-d]thiazole-6,7-diol
Molecular Weight: 219.26
Type: eukaryotic O-GIcNAcase inhibitor

Catalog Number: Seu-002
Molecular Formula: C9H16N2O4S
Chemical Name: (3aR,6S,7R,7aS)-2-(Dimethylamino)-5,6,7,7a-tetrahydro-5- (hydroxymethyl)pyrano[3,2-d]thiazole-6,7-diol
Molecular Weight: 248.3
Type: eukaryotic O-GIcNAcase inhibitor

Catalog Number: Seu-003
Molecular Formula: C12H20N2O4S
Chemical Name: (3aR,6S,7R,7aS)-5,6,7,7a-Tetrahydro-5-(hydroxymethyl)-2- (piperidin-1-yl)pyrano[3,2-d]thiazole-6,7-diol
Molecular Weight: 288.36
Type: eukaryotic O-GIcNAcase inhibitor

Catalog Number: Seu-004
Molecular Formula: C11H18N2O4S
Chemical Name: (3aR,6S,7R,7aS)-5,6,7,7a-Tetrahydro-5-(hydroxymethyl)-2- (pyrrolidin-1-yl)pyrano[3,2-d]thiazole-6,7-diol
Molecular Weight: 274.34
Type: eukaryotic O-GIcNAcase inhibitor

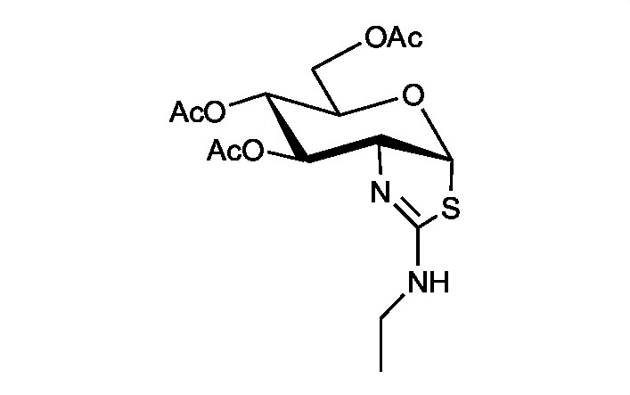
Catalog Number: Seu-005
Molecular Formula: C17H26N2O9S
Chemical Name: [(2S,3R,4R,5S,6R)-2,5-Diacetyloxy-6-(Acetyloxymethyl)-3- (ethylcarbamothioylamino)oxan-4-yl] acetate
Molecular Weight: 434.46
Type: eukaryotic O-GIcNAcase inhibitor

Catalog Number: Seu-006
Molecular Formula: C25H42N4O14
Chemical Name: 1,2-Dideoxy-2'-Dimethylamino-alpha-D-glucopyranoso-[2,1-d]- DELTA2'-thiazoline
Molecular Weight: 622.61
Type: eukaryotic O-GIcNAcase inhibitor

Catalog Number: Seu-007
Molecular Formula: C15H22N2O7S
Chemical Name: 3,4,6-Tri-O-acetyl-1,2-dideoxy-2'-ethylamino-alpha-D- glucopyranoso-[2,1-d]-DELTA2'-thiazoline
Molecular Weight: 374.41
Type: eukaryotic O-GIcNAcase inhibitor

Catalog Number: Seu-009
Molecular Formula: C8H15NO6
Chemical Name: N-((2R,3S,4R,5S)-Tetrahydro-2,4,5-trihydroxy-6-(hydroxymethyl)- 2H-pyran-3-yl) acetamide
Molecular Weight: 221.21
Type: eukaryotic O-GIcNAcase inhibitor

Catalog Number: Seu-010
Molecular Formula: C9H16N2O4S
Chemical Name: (3aR,6S,7R,7aS)-2-(Ethylamino)-5,6,7,7a-tetrahydro-5- (hydroxymethyl)pyrano[3,2-d]thiazole-6,7-diol
Molecular Weight: 248.3
Type: eukaryotic O-GIcNAcase inhibitor

Catalog Number: Seu-011
Molecular Formula: C20H27N3O4
Chemical Name: N-((6R,7R,8R)-5,6,7,8-tetrahydro-6,7-dihydroxy-5- (hydroxymethyl)-2-phenethylimidazo[1,2-a]pyridin-8- yl)isobutyramide
Molecular Weight: 373.45
Type: eukaryotic O-GIcNAcase inhibitor

Catalog Number: Seu-012
Molecular Formula: C12H17N3O6
Chemical Name: 2-[(5R,6R,7R,8S)-8-acetamido-6,7-dihydroxy-5-(hydroxymethyl)- 5,6,7,8-tetrahydroimidazo[1,2-a]pyridin-2-yl]acetic acid
Molecular Weight: 299.28
Type: eukaryotic O-GIcNAcase inhibitor

Catalog Number: Seu-013
Molecular Formula: C15H19N3O7
Chemical Name: [[(3R,4R,5S,6R)-3-Acetamido-4,5-dihydroxy-6- (hydroxymethyl)oxan-2-ylidene]amino] N-phenylcarbamate
Molecular Weight: 353.33
Type: eukaryotic O-GIcNAcase inhibitor